KY开元集团官网
设为首页
|
加入收藏
首页
部门简介
通知公告
工作动态
督导工作动态
政策文件
教学日历
通知公告
通知公告
首页
>
通知公告
> 正文
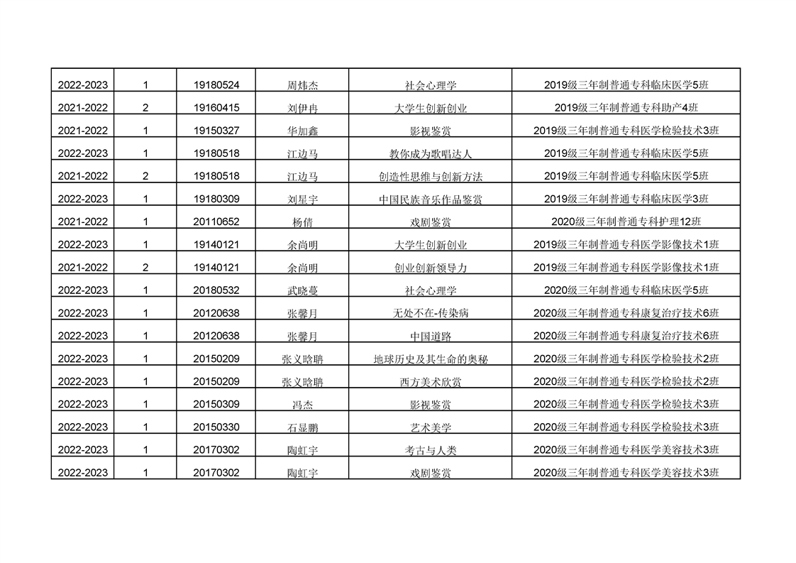
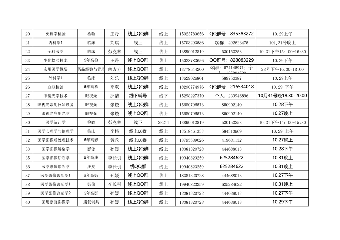
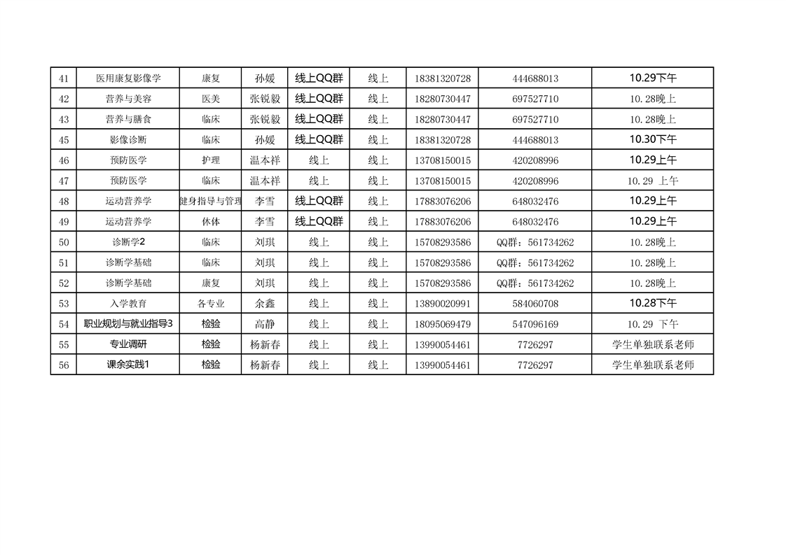
关于2022-2023(1)学期课程重(补)修辅导 相关事项的通知
发布者: 时间:2022-10-27 浏览: