各位考生:
根据《四川省高等教育招生考试委员会四川省教育厅关于印发四川省2025年高等职业学校面向民族地区“9+3”免费教育计划毕业生单独招生工作实施方案的通知》及其补充通知精神,以及《KY开元集团官网2025年“9+3”高职单招招生章程》规定,经学校招生工作领导小组研究决定,现将开元官网2025年“9+3”高职单招考试护理专业各类别拟录取分数控制线(见附件1)及拟录取考生名单(见附件2)公示如下,并请考生仔细阅读以下重要事项:
1.公示期为2025年4月21日至25日,共五天。如有异议,请在公示期内通过电话、网络举报等方式向学校纪检监察处(纪委办公室)反映。反映情况要实事求是、客观公正,并提供联系方式,以便调查核实。举报电话:(0813)8283589;举报网址: /jjjcc/wyjb.htm。
2.公示期间,拟录取的考生若要放弃录取,本人及家长须在2025年4月25日12:00前携带本人及家长签字的放弃录取申请书和考生户口簿原件、身份证原件、身份证复印件到学校招生就业处现场办理放弃录取手续;若考生因特殊情况无法到达现场,则应在规定时间内将申请的相关资料(考生本人及家长手写签字并盖手印的放弃录取申请书照片、考生身份证正反面照片、家长身份证正反面照片、户口簿家长和考生页照片、考生本人及家长签字及口述放弃录取申请书内容全过程的正面录像视频。)打包压缩发送至学校招生就业处邮箱(邮箱:442012702@qq.com)办理放弃录取手续,发送邮件后请务必来电(0813-8283555)确认学校是否收到资料。逾期不再接受放弃录取申请,放弃后的名额不再进行补录。
3.考生被学校正式录取后,与普通高考新生享受同等待遇,不再参加普通高考或对口招生考试。
4.考生被学校录取后不得转入其他学校。
5.学校单独招生录取的考生,须在录取通知书规定的时间内到校报到,逾期未报到者,取消入学资格。
6.新生入学后,学校将进行入学资格及体检复查,对不符合报名条件或有徇私舞弊、弄虚作假等行为的,取消考生录取资格、入学资格或学籍;对身体条件不符合相关专业要求的考生,将按《普通高等学校招生体检工作指导意见》及其补充规定处理。
7.咨询电话:(0813)8283555、8283666、8283663
8.纪检监察处(纪委办公室)电话:(0813)8283589
9.学院网址:http:/
2025年4月21日
附件1:
2025年 “9+3”高职单招考试拟录取分数控制线
考生类别 |
专业 |
拟录取分数控制线(分) |
备注 |
涉藏州县“9+3” |
护理 |
216.67 |
|
大小凉山彝区县“9+3” |
护理 |
193 |
|
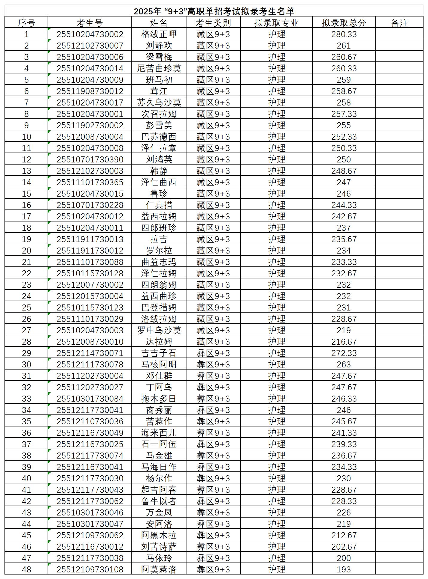
附件2:

附件3:
2025年“9+3”单独招生考试放弃拟录取资格申请(模版)
KY开元集团官网:
本人姓名XXXX,性别XX,身份证号:XXXXXXXXXXXXXXXXXX。报名参加贵校2025年“9+3”单独招生考试,被贵校拟录取为2025级护理专业三年制大专新生,由于XXXXXXXXXXXXXXXXXXXXXXXXX原因,本人自愿放弃贵校的拟录取资格,由此产生的一切后果,由本人自行承担。
本人签名:
家长签名:
年 月 日